[10000印刷√] x^2/4 y^2/9=1 graph 156559-X^2/4+y^2/9=1 graph
Question Match The Equation With Its Graph X^2/9 Y^2/16 Z^2/9 = 1 This problem has been solved!If it's not what You are looking for, type in into the box below your own function and let us find the graph of it The graph of x^2y^2=9 represents a graph of a circle On the given graph you can also find all of the important points for function x^2y^2=9See the answer Show transcribedFoci (x^2)/4 (y^2)/9 =1 \square! #专题# 东京奥运会乒乓球混双,许昕/刘诗雯 41 晋级 8 强,如何评价本场比赛?
Which Is The Graph Of X 2 4 Y 2 25 1 Brainly Com
X^2/4+y^2/9=1 graph
X^2/4+y^2/9=1 graph-Click here👆to get an answer to your question ️ Tangents are drawn from points on the hyperbola x^2/4 y^2/9 = 1 to circle x^2 y^2 = 4 The locus of the mid point of the chord of contact isRelated » Graph » Number Line » Examples » Our online expert tutors can answer this problem Get stepbystep solutions from expert tutors as fast as 1530 minutes



Identifying Linear Functions Warm Up Lesson Presentation Lesson
Draw a Rough Sketch of the Graph of the Curve X 2 4 Y 2 9 = 1 and Evaluate the Area of the Region Under the Curve and Above the Xaxis Department of PreUniversity Education, Karnataka PUC Karnataka Science Class 12 Textbook Solutions Important Solutions 984 QuestionFollow views (last 30 days) Show older comments Emil Goh on Vote 0 ⋮ Vote 0 Commented Emil Goh on Accepted Answer Joseph Cheng new to matlapHow would I graph x 2 divided by x^2 4 using a method in extreme values of functions or completing the square x 2/ x^24 Sean why not just exempt x = /2 and then simplify the fraction to 1 / (x 2) ?
X 2 4 y 2 9 z 2 = 1 Multiply both sides of the equation by 36, the least common multiple of 4,9 Multiply both sides of the equation by 3 6, the least common multiple of 4, 9 36x^ {2}9y^ {2}4z^ {2}=36 3 6 x 2 9 y 2 4 z 2 = 3 6 Subtract 36x^ {2} from both sides Subtract 3Function Grapher and Calculator Description All Functions Description Function Grapher is a full featured Graphing Utility that supports graphing up to 5 functions together You can also save your work as a URL (website link) Usage To plot a function just type it into the function box Use "x" as the variable like thisQuestion sketch the graph of each ellipse 1x^2/9y^2/4=1 2x^2/9y^2=1 3x^2y^2/4=1 4y^2/4x^2/25=1 5y^2/9X^2/16=1 6x^2/25y^2=1 7x^2y^2/9=1 8x^2y^2/25=1 9x^2/9y^2=1 109x^216y^2=144 119x^225y^2=225 12x^2y^2=1 13y^2x^2=1 Answer by
Answer to Graph (x 2)^2 (y 1)^2 = 9 By signing up, you'll get thousands of stepbystep solutions to your homework questions You can also how to plot ellipse x^2/4y^2/9=1 and circle x^2y^2=1 in a single figure window using ezplot and hold on commands?Drag each sequence of transformations to the correct location on the table classify the sequences of



Ex 8 1 5 Find Area By Ellipse X2 4 Y2 9 1 Class 12



Mfm2p
X = y2 You can determine the shape of x = 4 y 2 by substituting some numbers as you suggest Sometimes you can see what happens without using specific points Suppose the curves are x = y2 and x = 4 y2 and and you want to find points on the two curves with the same yvalue Then substitute y 2 from the first equation into the second toGraph (x^2)/4 (y^2)/9=1 x2 4 y2 9 = 1 x 2 4 y 2 9 = 1 Simplify each term in the equation in order to set the right side equal to 1 1 The standard form of an ellipse or hyperbola requires the right side of the equation be 1 1 x2 4 y2 9 = 1 x 2 4 y 2 9 = 1 This is the form of an ellipse Use this form to determine the values used toGet stepbystep solutions from expert tutors as fast as 1530 minutes Your first 5 questions are on us!



Tall Dark And Mysterious Conics Then And Now



1
Graph 9 x^{2}4 y^{2}=1 Get certified as an expert in up to 15 unique STEM subjects this summerAnswer to The equation x^2/4 y^2/9 = 1 represents the graph of an ellipse What is the center of the ellipse?(0, 0) (2, 3) (3,



Reflecting Shapes Article Reflections Khan Academy



Identifying Linear Functions Warm Up Lesson Presentation Lesson
We're going to explore the equation of a parabola y=a x 2 b xc for different values of a, b, and c First, let's look at the graph of a basic parabola y=x 2, where a =1, b =0, and c =0 Notice the graph opens up, the vertex is at x=0, and the yintercept is at y=0If you don't include an equals sign, it will assume you mean "=0"It has not been well tested, so have fun with it, but don't trust it If it gives you problems, let me know Note it may take a few seconds to finish, because it has to do lots of calculationsホーム 印刷√ x^2/4 y^2/9=1 graph Graph the hyperbola with equation (x3)^2/4(y3)^2/9=1 印刷√ x^2/4 y^2/9=1 graph Graph the hyperbola with equation (x3)^2/4(y3)^2/9=1



Circles



7 03 Ellipses And Circles
Graphing these points and connecting them with a straight line give us the graph of 2x y = 6 If the graph intersects the axes at or near the origin, the intercept method is not satisfactory We must then graph an ordered pair that is a solution of the equation and whose graph is not the origin or is not too close to the origin Example 2(x2)^2(y1)^2=9 graphA sphere is the graph of an equation of the form x 2 y 2 z 2 = p 2 for some real number p The radius of the sphere is p (see the figure below) Ellipsoids are the graphs of equations of the form ax 2 by 2 cz 2 = p 2, where a, b, and c are all positiveFormula for love X^2(ysqrt(x^2))^2=1 (wolframalphacom) 2 points by carusen on Feb 14, 11 hide past favorite 41Hint Drag to pan Mouse wheel to zoom



X 2 4 Y 2 9 1 Graph Novocom Top



Solution The Semi Transverse Axis Of The Hyperbola X 2 9 Y 2 4 1 Is
How to plot 3 dimensional graph for x^2 y^2 = 1?Graph of (x2)/4=1/ (y4) Below you can find the full step by step solution for you problem We hope it will be very helpful for you and it will help you to understand the solving process If it's not what You are looking for, type in into the box below your own function and let us find the graph of it The graph of (x2)/4=1/ (y4) is aGraph each equation 9) x2 4 y2 9 = 1 x y −8 −6 −4 −2 2 4 6 8 −8 −6 −4 −2 2 4 6 8 10) x2 49 y2 = 1 x y −8 −6 −4 −2 2 4 6 8 −8 −6 −4 −2 2 4 6 ©W U2x0 z1r1 R fK 3uxt rai DSGoUfbtZw va 8rpe Y yLKL SCAq 9 Slwlm ArIi5glh utksj Arue1sFecr 7vVeQd77 u GMZaxdnek xw2iKtlha uI RnLftilnRigt 2e7 XAbl Agle 8b 9rsa



X 2 2 4 Y 3 2 9 1 Hyperbola Youtube



Which Is The Graph Of X 2 4 Y 2 25 1 Brainly Com
Follow 36 views (last 30 days) Show older comments Emil Goh on Vote 0 ⋮ Vote 0 Commented Emil Goh on Accepted Answer Joseph Cheng new to matlap `(2sec theta,3tan theta)` `(x^(2))/(4)(y^(2))/(9)=1` `3xy4=0` `theta` Bihar Inter Results 21 BSEB has released class 12mark sheets, Students can Also, I forgot to mentionto get the front half of the graph, you have go the opposite way (4 units to the left and then 1 unit up) It's likely easier to just plug in numbers though like 4, 2, 0, 2, 4 into the function and connect the dots!



Which Is The Graph Of X 2 9 Y 2 4 1 Brainly Com



Ellipses
Draw a rough sketch of the graph of the curve \(\frac{x^2}{4}\frac{y^2}{9}=1\) and evaluate the area of the region under the curve and above the xFree online 3D grapher from GeoGebra graph 3D functions, plot surfaces, construct solids and much more! how to plot ellipse x^2/4y^2/9=1 and circle x^2y^2=1 in a single figure window using ezplot and hold on commands?



I X 2 X 7 0 Ii X 2 9 0 Sarthaks Econnect Largest Online Education Community



Hyperbolas
最も好ましい (x2)^2 (y 1)^2=9 graph 1904(x2)^2(y1)^2=9 graph Ngọc Huyền 5月 25, 21 Weekly Subscription $249 USD per week until cancelled Monthly Subscription $699 USD per month until cancelled Annual Subscription $2999 USD per year until cancelledContact Pro Premium Expert Support »(1 point) a straight line a parabola a curve none of the above 6 Science Which ofSearch the world's information, including webpages, images, videos and more Google has many special features to help you find exactly what you're looking for Graph (x4)^2/4 y^2/9 = 1 Answers 1 Get Other questions on the subject Mathematics Mathematics, 15, tylercapozzoli I'll mark you as brain plz i'll even rate u 5 stars !



Section 10 2 The Ellipse Ellipse A Set Of Points In A Plane Whose Distances From Two Fixed Points Is A Constant Ppt Download



Solution Graph X 3 2 Y 1 2 4 Y 2 2 4 4 1 X 1 X 2 2 9 Y 3 2 4 1 X 2 2 4 Y 3 2 9 1 Thanks Soo Much
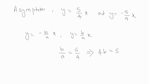
Compute answers using Wolfram's breakthrough technology & knowledgebase, relied on by millions of students & professionals For math, science, nutrition, history This hyperbola will open EastWest and be centered at the origin You will move right and left 2 units from center to find the vertices This comes from sqrt(4) that is the denominator of the x^2 term Then, go up and down 3 units (sqrt(9)) to find corners of a "box" that will create asymptotes for your shape The slopes of the asymptotes will be 3/2 for these reasonsI am already using it and I only can plot in 2 dimensional graph Can someone help me with this problem?



The Smaller Region Bounded By The Ellipse X 2 16 Y 2 9 1 And A Straight Line 3x 4y 12 What Should Be The Area Of That Smaller Region Quora



Solve Ellipse And Hyperbola Step By Step Math Problem Solver
Experts are tested by Chegg as specialists in their subject areaSolve your math problems using our free math solver with stepbystep solutions Our math solver supports basic math, prealgebra, algebra, trigonometry, calculus and moreErin from SVSU Micro Math helps you graph an ellipseProblem Graph the ellipse x^2/4 y^2/9 = 1Level intermediate/college algebra#SVSUmicromath



Ex 8 1 5 Find Area By Ellipse X2 4 Y2 9 1 Class 12



Ellipses And Hyperbolae
See the answer See the answer See the answer done loading Show transcribed image text Expert Answer Who are the experts?Graph y2=1/4*(x4) Move all terms not containing to the right side of the equation Tap for more steps Add to both sides of the equation Add and Rewrite in slopeintercept form Tap for more steps The slopeintercept form is , where is the slope and is the yintercept Reorder termsAnswer to Find the equations of both tangent lines to the graph of the ellipse {x^2} / 4 {y^2} / 9 = 1 that passes through the point (0, 4) not



7 04 Hyperbolas



How Do You Graph X 2 Y 2 4 Socratic
Solution for Sketch a graph of y^2 / 4 − x^2 / 9 = 1Plotting graphics3d Share Improve this question Follow asked Nov 29 '15 at 533 user user 11 1 1 gold badge 1 1 silver badge 2 2 bronze badges The graph represents the gallons of water in a water tank with respect to the number of hours since it was completely filled Answers 1 continue Mathematics, 1910, LindaCat78 What is the anwers for 92x=5x3x



How Do You Identify If The Equation 9x2 4y2360 Is A Class 12 Maths Cbse



Solution Graph X 3 2 Y 1 2 4 Y 2 2 4 4 1 X 1 X 2 2 9 Y 3 2 4 1 X 2 2 4 Y 3 2 9 1 Thanks Soo Much
Compute answers using Wolfram's breakthrough technology & knowledgebase, relied on by millions of students & professionals For math, science, nutrition, history A circle with a radius of 3, and its center located at (4,1) Given (x4)^2(y1)^2=9 Notice that the equation for a circle is given by (xa)^2(yb)^2=r^2 where (a,b) are the coordinates of the circle's center r is the radius of the circle Here, we get (a,b)=(4,1), and 9=3^2 So, this equation shows us a circle with a radius of 3 and has a center located at (4,1) Here is a graph x 2 /4 y 2 /9 = 1 The equation is y 2 /9 x 2 /4 = 1 The standard form of the equation of an ellipse center (h, k) with major and minor axes of lengths 2 2 (y k ) 2 /b 2 = 1 or (x h) 2 /b 2 (y k) 2 /a 2 = 1The vertices and foci lie on the major axis, a and c units, respectively, from the center (h, k ) and the relation between a, b



X 4 2 9 Y 2 2 4 1 For The Ellipse Find The Center Foci And Vertices Graph The Equation Youtube



Skip Introduction A Closer Look At Graphing The
Graph the ellipse and its foci x^2/9 y^2/4=1 standard forms of ellipse (xh)^2/a^2 (yk)^2/b^2=1 (horizontal major axis),a>b (yk)^2/a^2 (xh)^2/b^2=1 (vertical major axis),a>b given ellipse has horizontal major axis center (0,0)In this math video lesson I show how to graph y=(1/4)x2 The equation in this video is in slopeintercept form, y=mxb, and is a common way to graph an equGraph 9 x^{2}4 y^{2}=1 🎉 Announcing Numerade's $26M Series A, led by IDG Capital!Read how Numerade will revolutionize STEM Learning



Find The Eccentricity Of The Ellipse X 2 2 4 Chegg Com



1
Question Match the equation with its graph x^2/9 y^2/16 Z^2/9 = 1 This problem has been solved!You can put this solution on YOUR website!



11 4 Ellipses Mathematics Libretexts



Q Tbn And9gcqaadyb30ntiya6jxkgl1r1khzxcq2o1f9rfrqw7wmc5m3vnbjz Usqp Cau



無料ダウンロード F X Y X 2 Y 2 Graph 2101 F X Y Sqrt X 2 Y 2 Graph



Find The Area Of The Smaller Region Bounded By The Ellipse X 2 9 Y 2 4 1 And The Line X 3 Y 2 1 Sarthaks Econnect Largest Online Education Community



How Do You Graph X 2 4 Y 6 2 9 Socratic



Solve Ellipse And Hyperbola Step By Step Math Problem Solver



Ex 8 1 4 Find Area Bounded By Ellipse X2 16 Y2 9 1



How Do You Graph Left Dfracx24 Right Left Dfracy29 Class 12 Maths Cbse



Graph The Hyperbola X 1 2 4 Y 2 2 9 1 Youtube



Section 11 6 Conic Sections Ppt Video Online Download



14 1 Conic Sections Graphing Calculator By Mathlab User Manual



Vertices Direction Of A Hyperbola Example 2 Video Khan Academy



How Do You Graph Y X 2 9 Socratic



Mrs Rivas Ppt Download



Vectors And The Geometry Of Space 9 Functions And Surfaces Ppt Download



Equation Of Ellipse Problems



How Do You Graph X 2 4 Y 2 9 1 Socratic



Graphs Of Ellipses College Algebra



Write The Equation Of The Ellipse Shown In The Graph A X 1 2 4 Y 2 2 9 1b X 1 2 9 Brainly Com



Draw A Rough Sketch Of The Graph Of The Curve X 2 4 Y 2 9 1 And Ev



Vertices Direction Of A Hyperbola Example 2 Video Khan Academy



Hyperbola3 Html



Ellipses And Hyperbolae



12 6 Quadric Surfaces Mathematics Libretexts



What Does X 4 2 4 Y 7 2 9 1 Represent Socratic



Content The Concept Of A Function



Match The Equation With Its Graph The Graphs Are Chegg Com



X 2 4 Y 2 9 1 Graph Novocom Top



Solution Graph Each Hyperbola Give The Domain Range And Equation Of The Asymptotes Y 2 4 X 2 9 1



How To Construct The Graph Of X 2 Y 2 9 Quora



Www Nrcs Net Downloads T7 2 hw odds and evens3 Pdf



X 2 4 Y 2 9 1 Graph Novocom Top



Graphs Of Ellipses College Algebra



Q Tbn And9gctntaxhszzf4094vxx00d77mmdaehptsft1daahz1z Umdnxd C Usqp Cau



Draw A Rough Sketch Of The Graph Of The Curve X 2 4 Y 2 9 1 And Evaluate The Area Of The Region Under The Curve And Above The X Axis Mathematics Shaalaa Com



The Equation X 2 4 Y 2 9 1 Represents The Graph Chegg Com



12 6 Quadric Surfaces Mathematics Libretexts



Ex 8 1 4 Find Area Bounded By Ellipse X2 16 Y2 9 1



The Hyperbola Precalculus



Content The Concept Of A Function



How Do You Graph X 2 4 Y 6 2 9 Socratic



Sketch The Graph Of The Following Ellipse X 5 2 4 Y 2 2 9 1 Study Com



Equations Of Tangents To The Ellipse X 2 9 Y 2 4 1 Which Are Perpendicular To The Line 3x Youtube



Matching In Exercises 5 10 Match The Equation With Its Graph The Graphs Are Labeled A B C D E And F X 2 4 Y 2 9 1 Bartleby



The Ellipse With Foci At 3 0 And 3 0 And Chegg Com



Green Globs And Graphing Equations Buffalo State College Flip Ebook Pages 1 6 Anyflip Anyflip



Example 1 Graph The Equation Of A Translated Circle Graph X 2 2 Y 3 2 9 Solution Step 1 Compare The Given Equation To The Standard Form Of Ppt Download



The Foci Of Hyperbola 9x 2 16y 2 18x 32y 151 0 Are



Equation Of An Ellipse In Standard Form And How It Relates To The Graph Of The Ellipse



Hyperbola X 2 25 Y 2 9 1 Youtube



7 03 Ellipses And Circles



Find The Foci Of The Graph Of X 2 4 Y 2 9 1 Mathskey Com



Wolfram Alpha Examples Step By Step Solutions



The Smaller Region Bounded By The Ellipse X 2 16 Y 2 9 1 And A Straight Line 3x 4y 12 What Should Be The Area Of That Smaller Region Quora



The Hyperbola Precalculus



Skip Introduction A Closer Look At Graphing The



Equation Of Hyperbola Graphing Problems



Green Globs And Graphing Equations Buffalo State College Flip Ebook Pages 1 6 Anyflip Anyflip



Match The Equation With Its Graph X 2 9 Y 2 16 Chegg Com



What Is The Center Of The Ellipse Math Frac X Y 2 2 9 Frac X Y 2 16 1 Math Quora



Skip Introduction A Closer Look At Graphing The



Example 9 X2 25 Y2 9 1 Find Foci Vertices Eccentricity



Solved Match The Equation With One Of The Graphs



15 5 Parameterized Surfaces And Surface Area Chapter 15 Vector Analysis Part Calculus Iii



Ex 21 1 Q10 Draw A Rough Sketch Of The Graph Of The Curve X 2 4 Y 2 9 1 And Evaluate



Ellipses And Hyperbolae



Graph The Hyperbola Y 2 2 4 X 1 2 9 1 Youtube



Find An Equation For The Hyperbola Described 6 Chegg Com



Which Is The Graph Of X 2 9 Y 2 16 1 Brainly Com



Ellipses



Quiz Chapter 10



Hyperbolas



Ex 8 1 5 Find Area By Ellipse X2 4 Y2 9 1 Class 12



Solve Ellipse And Hyperbola Step By Step Math Problem Solver


コメント
コメントを投稿